[UCR]  
[/\]
Universidad de Costa Rica
Escuela de Ciencias de la
Computación e Informática
[<=] [home] [<>] [\/] [=>]
Google Translate

Una abstracción C++ completa de la clase árbol

Adolfo Di Mare



 

Resumen [<>] [\/] [/\]

Discutimos cómo es el funcionamiento y la implementación de la clase de plantillas C++ Tree, que puede ser usada para programar algoritmos recursivos que trabajan en jerarquías. Esta clase genérica es bastante general y subsume la mayoría de las abstracciones descritas en los libros de texto. We discuss how the workings and implementation of the Tree template class which can be used to program recursive algorithms that work in hierarchies. This generic abstraction is quite general and subsumes most tree abstractions described in text books.

 

Introducción [<>] [\/] [/\]

      La construcción de programas por partes, usando módulos, se facilita mucho cuando se usan clases. Muchas clases existen porque corresponden a objetos concretos, como ocurre con las clases "Persona" o "Número Complejo"; a éstos módulos básicos podemos llamarles Clases elementales. Hay otras clases, las que llamamos clases Contenedoras, que sirven para almacenar a otros objetos. Los contenedores más importantes son tres: el Vector o Arreglo, la Lista y el Arbol. Existen otros contenedores, como "Heap.pas", "Poly.pas", "Matriz.c++", etc, pero la mayoría de las estructuras de datos importantes se obtienen al combinar vectores, listas y árboles. En lenguajes potentes como C++ es posible crear los contenedores usando plantillas, que es el camino que se ha tomado para realiar este trabajo.

      Indiscutiblemente, el más importante de todos los contenedores es el vector, que es una construcción sintáctica básica de la mayoría de los lenguajes de programación. La Lista le sigue en orden de importancia, pues generalmente está implementada como una estructura dinámica que le evita al programador definir de antemano la capacidad máxima que necesitará, lo que facilita la escritura de programas. Es tan importante la lista que hay lenguajes especializados en su uso, como por ejemplo Lisp o Scheme.

      En comparación a los otros contenedores, los árboles se usan relativamente poco, pues la mayor parte de los programas no necesitan manejar estructuras jerárquicas recursivas. De hecho, la biblioteca STL de C++ está compuesta de contenedores "lineales", pues todos son secuencias que tienen algunas cualidades adicionales [Brey-2000]; lo mismo ocurre con la biblioteca de componentes que construyó Microsoft para su plataforma .NET. Además, con las listas es posible implementar árboles, por lo que en aquellas ocasiones en que una jerárquicas recursiva es la solución, muchos programadores escogerán escribir su programa de árboles directamente, o utilizan árboles binarios, cuyos algoritmos se pueden encontrar en la mayoría de libros de texto sobre estructuras de datos [AHU-84]. Aunque el árbol no es tan importante como la lista, es conveniente estudiarlo por lo menos por las siguientes razones:

  1. La especificación del árbol parece simple a primera vista, pero en la práctica es bastante complicada, y quien logra entenderla aprende con profundidad cómo debe diseñar e implementar programas usando abstracción como mecanismo de construcción y documentación de módulos.
  2. En esta especificación del árbol basta usar el concepto de "Árbol", plasmado en las clases C++ "Tree", que permite usar las clases sin necesidad de conocer la estructura interna del árbol, ni la de sus nodos, que es lo que ocurre con otras implementaciones [BD-96]. Por eso, en las especificaciones de las operaciones nunca es necesario mencionar el concepto de "Nodo", que está presente en casi todos los árboles descritos en los libros de texto; el uso de estas clases permite la separación de funciones que es requisito necesario para aplicar con éxito la abstracción al construir programas.
  3. Como en las especificaciones de las operaciones del árbol no se habla de "nodos" tampoco es necesario hablar de " Punteros". Más aún, para usar la clase "Tree" no hace falta manejar punteros, lo que resulta en una clase muy simple, que consiste únicamente del tipo "Tree" junto con sus operaciones.
  4. Esta implementación es una buena herramienta para que el programador asimile las cualidades y defectos que tiene C++ como lenguaje de programación para la construcción de programas sofisticados o de alta complejidad.
  5. Dada la complejidad de esta implementación, el estudioso tiene la oportunidad de comprender cuáles son las limitaciones que tiene el uso abstracción para la construcción de programas sofisticados.

 

El árbol de nodos [<>] [\/] [/\]

      Antes de implementar la clase "Tree" es necesario definir qué es un árbol. Los árboles son grafos, pues están compuestos de nodos y aristas que los unen. Para definir matemáticamente un árbol es necesario definir primero el concepto de Camino, que es una secuencia de aristas que conectan nodos, en que la arista siguiente en el camino comienza en el nodo en que termina la arista anterior. Un Circuito es un camino en el que el primer y último nodo son el mismo, y un Circuito simple es un circuito en que cada nodo aparece sólo una vez. Se dice que el grafo es Conectado si siempre existe un camino entre cualesquiera 2 nodos del grafo. Con base a estos conceptos son equivalente las siguientes definiciones matemáticas del árbol "T" [Even-79]:

  1. "T" es un grafo conectado que no tiene circuitos simples.
  2. "T" no tiene circuitos simples, pero si a "T" se le agrega cualquier arista se forman un circuito.
  3. "T" es un grafo cuyos nodos no están conectados consigo mismos en el que siempre existe un único camino entre cualesquiera 2 nodos.
  4. "T" es un grafo conectado, pero si una arista de "T" es removida el resultado es que "T" queda desconectado.
  5. "T" tiene "n" nodos y no tiene circuitos, y también tiene exactamente "n-1" aristas.
  6. "T" es un grafo conectado de "n" nodos que tiene exactamente "n-1" aristas.

      Todas estas definiciones son escuetas, correctas y completas pero, paradójicamente, no hablan de las propiedadas principales de los árboles, por lo menos desde el punto de vista del programador, pues no mencionan que un árbol en una jerarquía encabezada por su raíz. De hecho, en estos árboles matemáticos cualquier nodo podría fungir como nodo raíz. Estos hechos son muestra de que el concepto de árbol no es fácil de definir, pues tiene muchos posibles significados (¿qué es un árbol binario?).

      Una forma de definir qué es un árbol es mostrar cómo está hecho. En los libros de texto lo usual es definir un árbol como un conjunto finito de elementos o nodos organizados de acuerdo a las siguientes propiedades:

  1. T es un conjunto finito, o vacío, de elementos almacenados en "nodos" [T.Empty()].
  2. Los nodos del árbol están conectados unos a otros por medio de aristas o enlaces.
  3. Un árbol no vacío siempre tiene un único nodo llamado la "raíz" del árbol [T.Root()] del que todos los demás nodos son descendientes [T.Child(i)].
  4. Cada nodo en el árbol, excepto el nodo raíz, tiene un único nodo del que desciende directamente. Ese nodo es el nodo padre [T.Father()].
  5. Dos nodos que tienen el mismo padre se llaman hermanos [T.Sibling(i)].
  6. Los nodos que no tienen descendientes se llaman nodos hoja [Is_Leaf(T)].
  7. La longitud del camino que separa a un nodo de la raíz se conoce como su "profundidad" [Depth(T)].
  8. La longitud del camino más largo desde un nodo a alguno de sus descendiente es la altura del nodo [Height(T)].
  9. La altura del árbol es la altura de su raíz.
  10. Entre cualesquiera dos nodos del árbol siempre existe un único camino que los une.
  11. Los descendientes de un nodo siempre están ordenados de izquierda a derecha [T.Child(i)].
  12. Cada nodo puede tener un hijo número "n" aunque no tenga hijos anteriores o posteriores.

      Las últimas 2 condiciones son necesarias para que la definición de lo que es un árbol sea completa, pues al eliminarlas ocurre que los dos árboles binarios que tengan uno un hijo izquierdo y otro el mismo hijo, pero a la derecha, serían iguales.

 

El árbol hecho con base en la lista [<>] [\/] [/\]

T = A           A
   /|\         /
  B C D       B
   / \         \
  L   M         C
               / \
              L   D
               \
                M
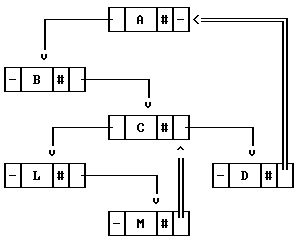
Tree_L Diagrama
Figura 1

      Un truco bien conocido es el de usar un árbol binario para representar los valores de un árbol "n"-ario, como se muestra en la Figura 1. La forma de hacerlo es bastante simple, pues ambos árboles tienen la misma raíz. En el árbol binario, el hijo izquierdo siempre es el primer hijo del árbol "n"-ario, mientras que los hijos derechos del árbol binario son los hermanos del hijo izquierdo. Como sobra un puntero a la derecha en el nodo del último hijo (en los nodos "D" y "M"), queda muy conveniente poner ahí un puntero al padre, lo que se ha enfatizado en la figura al usar doble línea. Todos los punteros en el árbol se usan, y únicamente el nodo raíz tiene su puntero derecho nulo, pues en un árbol sólo la raíz no tiene nodo padre. Esta estructura de datos es muy compacta y eficiente [HS-92].

      El inconveniente de estos árboles llamados "Hijo-izquierdo Hermano Derecho" es que para llegar al hijo número "n" hay que visitar antes a todos los hijos anteriores, mientras que en el árbol implementado con un vector de punteros a los hijos esta operación es inmediata, pues en un vector la cantidad de tiempo para llegar a cualquiera de sus elementos siempre es la misma. La ventaja de los árboles hijo+hermano es que no desperdician espacio en punteros nulos, y además sirven para representar de manera natural cualquier árbol "n"-ario, pues no tienen la limitación de un máximo de hijos por nodo (siempre y cuando haya memoria dinámica suficiente). Por eso, en muchas ocasiones es preferible usar árboles hijo+hermano, pues no requieren del programador cliente grandes cuidados para evitar sobrepasar el límite de número de hijos.

      Al implementar los árboles hijo+hermano surgen algunas dificultades que hay que mencionar. Lo primero es que se hace necesario incluir en el nodo algún marcador que permita diferenciar si un puntero derecho apunta a otro hermano, o si más bien ahí está el puntero al nodo padre que tiene el último hermano. Existen varios trucos de programación para lograr esta diferenciación entre los que se pueden destacar dos. El primero, y talvez el menos complicado, es esconder en el puntero final un "bit" que indique si ese puntero es o no un puntero al padre, usando un truco de programación similar al expuesto en [DiM-2000b]. La razón por la que aquí no se usa el truco del "bit escondido" es que es difícil de explicar a estudiantes novatos, y además se puede lograr el mismo efecto con la otra alternativa descrita más adelante.

// (m_n_child < 0) ==> Es el puntero al padre

class Tree_Node {
private:
    value_type  m_data;
    unsigned    m_refCount;
    int         m_n_child; // incrementado en int(1)
    Tree_Node * m_left_child;
    Tree_Node * m_right_brother;
}; // Tree_Node
Figura 2

Es necesario incluir en el nodo el campo "m_n_child" para registrar cuál es el número de hijo entre todos los hijos de un mismo padre, que se obtiene con el método "Child_Number()"; ahí se puede también indicar si un nodo es el último en la lista de hijos de su padre, almacenando un valor negativo en el campo "m_n_child". El campo "m_refCount" sirve para mantener un contador de referencias, lo que facilita mucho el trabajo con árboles y sus sub-árboles. Como en C++ todos los índices comienzan en cero "0" (no como en Pascal o Fortran, en donde comienzan en uno "1") en muchos casos existirá el hijo número cero (de hecho, el hijo izquierdo en un árbol binario es precisamente "Child(0)"). Sin embargo, el cero tiene la particularidad de que es el único número que es igual a su negativo "0 == -0", por lo que el campo "m_n_child" no podría contener un número negativo para el único hijo número cero. Por eso, en la implementación se almacena el valor "-n-1" o el valor "+n+1" en el campo "m_n_child" dependiendo de si el nodo es o no el último en la lista de hijos del nodo padre.

      En la discusión que sigue su usa la implementación de listas de la clase árbol, llamada "TL::Tree"; también se realizó la implementación "TV::Tree" usando un vector de punteros, que es funcionalmente equivalenta a "TL::Tree", pero cuyas cualidades de rendimiento no son discutidas acá por razones de espacio.

 

Funcionalidad del árbol [<>] [\/] [/\]

      En las secciones anteriores la mayor parte de la discusión se hizo desde la óptica de la implementación, por lo que fue necesario usar la palabra "Nodo" muchas veces. Como ocurre con las listas de Lisp, es posible especificar el árbol sin usar el concepto de "Nodo", usando más bien sub-árboles, así como la listas Lisp están definidas en término de sus sub-listas. Por analogía con Lisp, un sub-árbol es una parte de un árbol.

      Lo más simple muchas veces es suficiente; afortunadamente, basta definir un sub-árbol como un objeto que contiene una referencia hacia el valor almacenado en la jerarquía que representa la raíz del sub-árbol. La diferencia principal entre árboles y sub-árboles es que los primeros nunca tendrán en su raíz una indicación de quien es su padre, pues por definición la raíz un árbol no tiene padre alguno, mientras que sí puede ocurrir que un sub-árbol descienda de algún nodo por lo que en ese caso su raíz tendría un padre no vacío.

      Una vez que se usa el concepto de "sub-árbol" en lugar del de "nodo" se puede prescindir completamente de los nodos, porque en lugar de manipular los nodos se puede manipular sub-árboles cuya raíz es el "nodo" (que ya no hace falta mencionar). Por eso, la especificación de la operación "Child(n)" dice que retorna el "n"-ésimo sub-árbol hijo, no que retorna un nodo. Desafortunadamente, al definir los árboles como referencias surge un problema adicional, pues hay que mantener un control de cuántas referencias existen para cada nodo del árbol. Habrá más de una referencia al mismo sub-árbol si, por ejemplo, para el mismo árbol se invoca más de una vez la operación "Child(n)".

      Los árboles son útiles porque, además de almacenar valores, lo hacen imponiendo una estructura que permite luego lograr eficiencia en muchos algoritmos. Por eso, es importante definir cuáles mecanismos existen para pasar de un valor almacenado en el árbol a otro, y cómo se usan esos mecanismos. Los iteradores lineales de la biblioteca STL estándar de C++ son bien conocidos [Mall-97], pero a fin de cuentas no reflejan la estructura no lineal de los árboles. Por eso, el mecanismo principal para recorrer un árboles es visitar al padre y a sus hijos mediante la invocación de los métodos "Father()" y "Child(n)".

      Los árboles son contenedores, por lo que deben incluir operaciones que permitan almacenar valores en el árbol. Para ésto hay que contar por lo menos con 2 mecanismos: uno para cambiar un valor individual y el otro para injertar sub-árboles completos. Para agregar o cambiar un valor en la raíz se usa "Change_Root(d)", y para hacer lo mismo en el "n"-ésimo hijo se usa "Change_Child(n,d)". El método "Graft(n,Ti)" sirve para agregar el sub-árbol "Ti" completo, como "n"-ésimo hijo de "T". Los métodos "Erase()" junto con "Erase_Son(n)" tiene el efecto inverso, pues eliminan el sub-árbol completo.

      Como ocurre con cualquier objeto, también para los árboles tiene sentido definir sus operaciones elementales de copia, impresión, etc. Al copiar un árbol, que es una referencia, lo que se copia es una referencia, y el resultado es una copia superficial de valores. Por eso la operación "Copy()" es una copia superficial, y si se necesita una copia profunda del árbol, hay que usar "Copy_Deep()". Como se usa semántica de referencia para implementar árboles, las operaciones para recorrer los valores almacenados en el árbol retornan un nuevo objeto sub-árbol cuando , como lo hace por ejemplo "Child(n)". Esas referencias no son los valores almacenados del árbol y en consecuencia al intercambiarlas, mediante el método "Swap()" o al copiarlas, mediante el método "Copy()", no se modifica los valores almacenados en el árbol. Para modificar los valores almacenados es necesario usar los métodos que realizan esa función, como lo son "Change_Root(d)", "Change_Child(n,d)" o "Graft(n,Ti)". Por eso, si se usa "Swap()" para intercambiar 2 árboles obtenidos mediante invocaciones a "Child(n)" no se logrará cambiar los valores de los árboles originales.

/** Convierte a "T" en su sub-árbol espejo, en el que recursivamente los hijos
    quedan en orden inverso del orden en el que aparecían originalmente en "T"

           a                a
          /|\              /|\
        / / \ \          / / \ \
       b  c d  e        e  d c  b
      /|\     /|\      /|\     /|\
     f g h   i j k    k j i   h g f
              / \      / \
              l m      m l
               / \    / \
               n o    o n
*/
void Mirror( Tree& T ) {
    if ( T.Empty() ) {
        return; // se sale si el árbol está vacío
    }

    Tree Child = T.Leftmost();
    while ( ! Child.Empty() ) { // recursión para cambiar a todos los hijos
        Mirror( Child );
        Child = Child.Right_Sibling();
    }

    unsigned N = T.Rightmost_N();
    Tree     Ti, Tn_i;           // [0] [1] [2] [3] [4]    N == 4
    unsigned i, Mid = (N+1) / 2; //  i   i < 2 ==  Mid ==> 2 == 4/2 == 5/2
    for (i=0; i<Mid; ++i) { // Intercambia los hijos i <==> N - i
        Ti   = T.Child( i );
        Tn_i = T.Child( N - i );
        T.Graft( i,     Tn_i );     assert(( Ti.Empty() ? true : Ti.Father().Empty() ));
        T.Graft( N - i, Ti   );
    }
}
                                 // [0] [1] [2] [3] [4]    N == 4
    unsigned i, Mid = (N+1) / 2; //  i   i < 2 ==  Mid ==> 2 == 4/2 == 5/2
    for (i=0; i<Mid; ++i) { // Intercambia los hijos i <==> N - i
        T.Child(i) . Swap ( T.Child( N - i );
    } //            \====/
Figura 3

      En la parte de arriba de la Figura 3 está la implementación de la función "Mirror(T)" que funciona porque recursivamente vuelve al revés a "T" y a todos sus sub-árboles.

      La Figura 3 es muestra de que es posible implementar algoritmos recursivos de manera natural cuando se usa el concepto de "Sub-Árbol" en lugar del de "Nodo". En ésto también ayudan las cualidades sintácticas del lenguaje C++, cuyos mecanismos de herencia y sobrecarga de nombres permiten escribir con naturalidad los algoritmos, sin sacrificar el ocultamiento de datos.

      El algoritmo "Mirror(T)" implementado en la Figura 3 también sirve para ver que es muy cómodo usar sub-árboles pues, para simplificar la implementación, dentro del ciclo "for" se usan los 2 sub-árboles temporales "Ti" y "Tn_i". Al principio del ciclo "for" el resultado de la asignación "Ti = T.Child(i)" es hacer que el valor de "Ti" sea un sub-árbol cuyos valores están almacenados como sub-árbol de "T", con lo que efectivamente "T" y "Ti" comparten sus valores almacenados (esto quiere decir que si se ejecutara la operación "Ti.Change_Root(d)" cambiaría tanto el valor de "Ti" como el de "T"). Después de la ejecución de la operación "T.Graft(i,Tn_i)" ya no hay valores comunes entre "T" y "Ti", pero sí ocurre que "Ti" mantiene los valores que fueron parte de "T". Por eso, pese a que la operación "T.Graft(i,Tn_i)" elimina "Ti" como sub-árbol de "T", en "Ti" quedan los valores que luego son intalados como el hijo número "N-i" gracias la la última operación del ciclo, operación "T.Graft(N-i,Ti)"

      Para intercambiar los sub-árboles de la posición "i" a "N-i" en "Mirror(T)" es necesario usar "Graft(n,Ti)" pues si se usara un simple "Swap()", como está en la parte de abajo de la Figura 3, el resultado sería intercambiar las nuevas referencias a los hijos de "T" que "Child(n)" retorna, pero eso no cambia los valores almacenados en "T". En otras palabras, el efecto de esa invocación a "Swap()" sería dejar el árbol "T" con su valor original, e intercambiar las referencias que contienen los sub-árboles temporales que las 2 invocaciones a "Child()" producirían, lo que no tiene efecto en el valor de "T".

      Después de que un estudiante logra comprender por qué es necesario usar "Graft(n,Ti)" en lugar del simple "Swap()", ya no tendrá dificultad en saber cómo funcionan los lenguajes que usan la semántica de referencia como mecanismo fundamental para manipulación de datos, como ocurre en los lenguajes Java y C#.

      Después de analizar la implementación del algoritmo "Mirror(T)" en la Figura 3 es natural deducir la especificación de cada una de las operaciones de la clase "Tree". La clase "TL::Tree" facilita la escritura de algoritmos recursivos que manipulan la estructura del árbol, sin importar cuál es su contenido, porque el acoplamiento entre los valores almacenados y el contenedor es muy bajo.

class Bin_Tree {
    Node * m_root;
public:
    struct Node {
        Node *m_left, *m_right;
        value_type m_data;
    };
    friend void Print0( Node * );
    void Print() { Print0(m_root); }
};
// Print0() trabaja con nodos
// - No trabaja con el árbol
void Print0( Bin_Tree::Node *p) {
    if (p != 0) {
        Print0( p->m_left  );
        cout << p->m_data << ' ';
        Print0( p->m_right );
    }
}
Figura 4

      Tradicionalmente, los algoritmos recursivos que trabajan con árboles tienen que ser implementados en 2 partes, en donde hay un procedimiento externo que recibe parámetros de tipo "árbol" y luego invoca un procedimiento recursivo que realmente realiza el trabajo, y como argumento se le envía un puntero al nodo raíz del árbol, como se muestra en Figura 4 con la función "Print0()" y el método "Bin_Tree::Print()". Esta forma de proceder no es conveniente porque induce al programador cliente a usar los campos privados del objeto, y así violentar el ocultamiento de datos que es el mecanismo que se usa para evitarle al programador cliente conocer cómo está implementado un módulo de programación. La abstracción definida aquí permite implementar la función "Print()" en término de sub-árboles, y sin usar una rutina intermedia como "Bin_Tree::Print()" cuyo único trabajo es invocar al procedimiento recursivo que realiza el trabajo. Por eso, la gran ventaja de esta especificación del árbol es que permite manipular información organizada jerárquicamente, pero evita el uso de punteros, que tanta dificultad representan para la mayor parte de los programadores.

 

El concepto de árbol [<>] [\/] [/\]

      La cantidad de operaciones que tiene la clase "Tree", es muy grande, pues incluye todas las operaciones que deben ser incluidas. Sin embargo, en la mente de las personas no son todas las operaciones las que identifican a la una clase.

\
|___
|   |
^   ^
Figura 5

      La Figura 5 es una silla. No es una silla bonita, pero ti tiene su sentadera, sus paticas y el respaldar. Este dibujo es una abstracción del concepto silla, pues "abstraer" significa "Separar las cualidades de un objeto para considerarlas aisladamente o para considerar el mismo objeto en su pura esencia o noción". Cuando se habla de una pila en programación, el programador usuario entiende que se habla de un contenedor que tiene 2 operaciones principalísimas: "Push()" y "Pop()". En la biblioteca STL las pilas son parte de todos los contenedores, porque casi todos tienen las operaciones "push_front()" y "pop_front()". De hecho, la plantilla "stack<>" funciona porque estas operaciones están bien definidas para los otros contenedores. Lo mismo ocurre con las colas y sus operaciones "Enqueue()" y "Dequeue()". Por eso es importante definir cuáles son las operaciones "principalísimas" para la clase "Tree".

Child(n) Acceso al "n"-ésimo hijo TL TV
operator * () Acceso al valor almacenado en la raíz TL TV
Change_Root(d) Sustituye por "d" el valor almacenado en la raíz TL TV
Erase() Elimina el árbol y sus descendientes TL TV
Father() Acceso al padre TL TV
Graft(n,Ti) Injerta "Ti" como "n"-ésimo hijo TL TV
Figura 6

      En la Figura 6 están las operaciones principales de un árbol. En muchas ocasiones se usa un concepto de árbol que no incluye las operaciones "Graft(n,Ti)" y "Father()" porque muchas veces las implementaciones sólo tiene un puntero a los hijos. Puede ocurrir también que se hable de "Erase_Son(n)" en lugar de "Erase()" para es frecuente no incluir el puntero al padre que hay que usar al implementar "Erase()". Aunque la operación más compleja es "Graft(n,Ti)", la más importante es "Child(n)", que es la que permite llegar a los hijos desde el padre, pues casi siempre se usa un árbol porque se necesita este tipo de acceso. Desde el punto de vista más general, con los árboles ocurre algo similar a lo que ocurre en las listas, en las que la operación principal es avanzar hacia el siguiente nodo invocando "List::Next()".

      ¿Tiene sentido usar árboles que no tengan alguna de las operaciones de la Figura 6? Esta es una pregunta teórica, pues en la práctica los árboles son "nodos" que almacenan un valor y que están "conectados" a sus hijos derecho e izquierdo, pues casi siempre lo que se usa es un árbol binario. Siendo así las cosas, y debido a que no es usual incluir un puntero al padre, que es lo que permite implementar con relativa eficiencia la operación "Graft()", se puede decir que la abstracción aquí descrita no concuerda con lo que se usa en muchos libros de texto. Pero si es válido alzar la conjetura de que, junto con el desarrollo de la tecnología y el conocimiento, poco a poco esta abstracción del árbol será más utilizada.

 

Especificación del árbol [<>] [\/] [/\]

      La especificación completa de la clase fue extraída del código fuente usando el sistema de documentación Doxygen [VANH-2004].

 

Detalles de implementación [<>] [\/] [/\]

      Talvez la exposición en este artículo debiera haber comenzado por lo más abstracto, para llegar al final a lo más concreto. Sin embargo, los programadores aprendemos como los niños: de lo concreto a lo abstracto. Por eso, con frecuencia partimos de una implementación para luego obtener la abstracción que le corresponde. El último paso es definir el trabajo realizado, escribiendo la documentación de la especificación (en lo que afortunadamente ayuda mucho contar con herramientas como Doxygen que extraen las especificaciones del código fuente). Después de todo, la razón para usar abstracción es construir programas, lo justifica el enfoque aquí usado.

      En general la parte más compleja en la implementación es la manipulación de punteros, pues un pequeño descuido puede resultar en un puntero roto, que en general tiene efectos impredecibles en el programa. Precisamente por lo difícil que es manipular punteros se justifica usar clases y módulos, que permiten encapsular el uso de punteros en una sección aparte de la implementación, para facilitar la depuración independientemente del resto del programa.

      Mantener las cuentas de referencia en el campo "m_refCount" es una tarea difícil, pues es muy fácil perder la cuenta cuando se construyen y destruyen objetos. La ventaja de usar cuentas de referencia es que facilita mucho la copia de objetos, pues el método "Copy()" sólo tiene que copiar un puntero y aumentar un contador. Debido a la complejidad de estas 2 implementaciones, definitivamente para un estudiantes es provecho conocer cómo se manipulan por doquier las cuentas de referencia "m_refCount", cuyo uso contribuye a posponer la destrucción de objetos hasta que todavía están en uso.

      Respecto del uso de cuentas de referencia cabe hacer una digresión importante. Los programadores C++ con frecuencia alimentan el mito de que C++ es un lenguaje más "rápido" o "eficiente" que otros lenguajes más modernos, como lo son Java o C#. Sin embargo, si los árboles acá descritos hubieran sido implementados en alguno de esos 2 lenguajes, seguramente tendrían un mejor desempeño que la versión C++, pues Java y C# usan un recolector de basura que funciona cuando se requiere, o sea, que se activa cuando se agota la memoria dinámica. Debido a que los computadores ahora tienen cantidades enormes de memoria, ese evento es relativamente raro, por lo que la versión C++ requeriría más tiempo de ejecución porque cada ves que se hace una copia en C++ es necesario también incrementar o decrementar los contadores de referencia "m_refCount", lo que no ocurre en las implementaciones Java o C#. En otras palabras, la estrategia C++ para recuperar memoria dinámica es muy avara (greedy), y esa política no siempre da buenos resultados: C++ cuenta los centavos mientras que los otros sólo se ocupan de los millones.

      La especificación de "Copy()" y de las otras operaciones de copiado retorna una referencia "Tree&" en lugar de un nuevo objeto de tipo "Tree" por razones puramente de eficiencia, pues en el contexto en que esas operaciones se pueden usar no existe el problema de que el uso de la referencia cause un efecto colateral indeseado. Si en la implementación no fuera necesario usar el contador de referencias "m_refCount", estos métodos retornarían un nuevo objeto "Tree" por eso es más sencillo. Este es un ejemplo en donde la búsqueda de la eficiencia en la implementación tiene un impacto en la especificación.

      Definitivamente, en ambas implementaciones la operación más compleja es "Graft()", pues la manipulación de punteros que requiere es muy intrincada. Esta operación es el centro de la implementación. Como generalmente es más fácil manejar vectores que punteros, es natural que la implementación de "TV::Graft()" sea mucha más sencilla que la de "TL::Graft()", pues es la versión de listas es necesario usar el método privado intermedio "Erase_Son_Prev()" que tiene una estructura de funcionamiento muy compleja.

      Es curioso, pero la función "Mirror()" de la Figura 3 no es idempotente, pues al aplicarla 2 veces consecutivas no siempre se obtiene el mismo árbol original, pues la rotación de los hijos se hace intercambiando el hijo "int(0)" con el número "Rightmost_N()", por lo que si hay 2 hijos, "[1+9]" por ejemplo, al sacar el espejo la primera vez quedarán numerados "[0+8]", y luego quedarán numerados "[0+8]" de nuevo, y se perderá la numeración original "[1+9]".

      El programa "Tree_test.cpp" puede ser muy útil para determinar cuál es el funcionamiento de cada operación, pues en muchos casos se usar la macro "assert()" para verificar el resultado correcto de la ejecución de cada operación.

 

Conclusión [<>] [\/] [/\]

      Hasta hace pocos años en los cursos intermedios de programación se usaban las listas para mostrar los conceptos de abstracción y especificación para los construcción de programas por módulos. Debido a que ahora ya existen muchas bibliotecas completas de contenedores lineales [Mall-97] , conviene usar el objeto contenedor árbol como instrumento didáctico para enseñar técnicas avanzadas de programación. La implementación que aquí se presenta es un paso en esa dirección.

      La preferencia hacia C++ como lenguaje en el segundo curso de programación se justifica por sus cualidades para abstracción y especificación [BLW-2001]. La aparente eficiencia de C++ no lo es tal en situaciones prácticas, en las que lenguajes más simples como C# o Java pueden ser una mejor alternativa; de hecho, mantener las cuentas "m_refCount" correctas aumentan la dificultad de estas 2 implementaciones en C++. Se justifica continuar usando C++ sólo en cursos en donde la eficiencia es un objetivo central, como en Análisis de Algoritmos o Sistemas Operativos.

 

Agradecimientos [<>] [\/] [/\]

      La profesora Gabriela Marín contribuyó con facilidades bibliográficas. El estudiante Alejandro Di Mare hizo varias observaciones y sugerencias importantes para mejorar este trabajo.

 

Bibliografía [<>] [\/] [/\]

[AHU-84]
             
Aho, Alfred V.; Hopcroft, John E.; Ullman, Jefrrey D.: Data Structures and Algorithms, Addisson Wesley Publishing Co.Computer Science Press, 1984.
[BD-96] Berman, A. Michael & Duvall, Robert C.: Thinking about binary trees in an object-oriented world, Proceedings of the twenty-seventh SIGCSE technical symposium on Computer science education; Philadelphia, Pennsylvania, United States; pp 185-189; ISBN 0-89791-757-X, 1996.
[BLW-2001] Bucci, Paolo & Long, Timothy J. & Weide, Bruce W.: Do we really teach abstraction?, Proceedings of the thirty-second SIGCSE technical symposium on Computer Science Education; Charlotte, North Carolina, United States; pp 26-30; ISBN 1-58113-329-4, 2001.
[Brey-2000] Breymann, Ulrich: Designing Components with the C++ STL, ISBN 0-201-67488-2, Pearson Education Limited, 2000.
[DiM-2000a] Di Mare, Adolfo: C Parametrized Lists, Revista de Ingeniería, Universidad de Costa Rica, 2000.
      http://www.di-mare.com/adolfo/p/c-list.htm
[DiM-2000b] Di Mare, Adolfo: Como esconder datos en punteros, Revista de Ingeniería, Universidad de Costa Rica, 2000.
      http://www.di-mare.com/adolfo/p/ptrbit.htm
[DiM-2004] Di Mare, Adolfo: El truco del Tdef.h para la enseñanza de plantillas C++, Reporte Técnico ECCI-2004-01(sp), Escuela de Ciencias de la Computación e Informática, Universidad de Costa Rica, 2004.
      http://www.di-mare.com/adolfo/p/tdef.htm
[Even-79] Even, Shimon: Graph Algorithms, Computer Science Press, ISBN 0-914894-21-8, 1979.
[Feke-2002] Fekete, Alan: Teaching data structures with multiple collection class libraries, Proceedings of the 33rd SIGCSE technical symposium on Computer science education; Cincinnati, Kentucky; pp 396-400; ISBN 1-58113-473-8; 2002.
[Gur-95] Gurwitz, Chaya: Achieving a uniform interface for binary tree implementations, Proceedings of the twenty-sixth SIGCSE technical symposium on Computer science education; Nashville, Tennessee, United States; pp 66-70; ISBN 0-89791-693-X; 1995.
[HS-82] Horowitz, E.; Sahni, S.: Fundamentals of Data Structures, Computer Science Press; 1982.
[KB-89] Kumar, Ashok & Beidler, John: Using generics modules to enhance the CS2 course, Proceedings of the twentieth SIGCSE technical symposium on Computer science education Louisville, Kentucky, United States; pp 61-65; ISSN 0097-8418; 1989.
[LMc-87] Liss, Ivan B. & McMillan,Thomas C.: Trees - A CS2 programming project which introduces a data type using procedural and data abstraction, Proceedings of the eighteenth SIGCSE technical symposium on Computer science education; St. Louis, Missouri, United States; pp 346 - 352; ISBN 0-89791-217-9; 1987.
[Mall-97] Mallozzi, John S.: Binary trees á la STL, Proceedings of the twenty-eighth SIGCSE technical symposium on Computer science education; San Jose, California, United States; pp 159-163; ISSN 0097-8418; 1997.
[VANH-2004] Van Heesch, Dimitri: Doxygen documentation system for C++, 2004.
      http://www.doxygen.org/index.html

 

Código fuente [<>] [\/] [/\]

Archivo Descripción Texto Doxygen
Tree_Ex.h Algunas funciones de ejemplos de uso de la clase Arbol
http://www.di-mare.com/adolfo/p/TreeCpp/Tree_Ex.h
.txt  .html
Tree_L.h Declaraciones y definiciones para la clase Arbol [Lista]
http://www.di-mare.com/adolfo/p/TreeCpp/Tree_L.h
.txt  .html
Tree_V.h Declaraciones y definiciones para la clase Arbol [Vector]
http://www.di-mare.com/adolfo/p/TreeCpp/Tree_V.h
.txt  .html
Tree_test.cpp Tree_test.cpp ==> Ejemplos de uso de la clase Arbol
http://www.di-mare.com/adolfo/p/TreeCpp/Tree_test.cpp
.txt  .html
Tree.vcproj Compilación VC++ v7
http://www.di-mare.com/adolfo/p/TreeCpp/Tree_test.vcproj
.txt .vcproj
TreeCpp.dxg Configuración Doxygen [v 1.4.5]
http://www.di-mare.com/adolfo/p/TreeCpp/Tree.dxg
.txt .dxg
Documentación Doxygen http://www.di-mare.com/adolfo/p/TreeCpp/index.html
Fuentes completos → http://www.di-mare.com/adolfo/p/TreeCpp/TreeCpp.zip

 

Indice [<>] [\/] [/\]

[-] Resumen
[1] Introducción
[2] El árbol de nodos
[3] El árbol hecho con base en la lista
[4] Funcionalidad del árbol
[5] El concepto de árbol
[6] Especificación del árbol
[7] Detalles de implementación
[-] Conclusión
[-] Agradecimientos
[-] Código fuente

Bibliografía
Indice
Acerca del autor
Acerca de este documento
[/\] Principio [<>] Indice [\/] Final

 

Acerca del autor [<>] [\/] [/\]

Adolfo Di Mare: Investigador costarricense en la Escuela de Ciencias de la Computación e Informática [ECCI] de la Universidad de Costa Rica [UCR], en donde ostenta el rango de Profesor Catedrático. Trabaja en las tecnologías de Programación e Internet. También es Catedrático de la Universidad Autónoma de Centro América [UACA]. Obtuvo la Licenciatura en la Universidad de Costa Rica, la Maestría en Ciencias en la Universidad de California, Los Angeles [UCLA], y el Doctorado (Ph.D.) en la Universidad Autónoma de Centro América.
Adolfo Di Mare: Costarrican Researcher at the Escuela de Ciencias de la Computación e Informática [ECCI], Universidad de Costa Rica [UCR], where he is full professor and works on Internet and programming technologies. He is Cathedraticum at the Universidad Autónoma de Centro América [UACA]. Obtained the Licenciatura at UCR, and the Master of Science in Computer Science from the University of California, Los Angeles [UCLA], and the Ph.D. at the Universidad Autónoma de Centro América.
[mailto]Adolfo Di Mare <adolfo@di-mare.com>

 

Acerca de este documento [<>] [\/] [/\]

Referencia: Di Mare, Adolfo: Una clase C++ completa para conocer y usar árboles , Reporte Técnico ECCI-2005-01, Escuela de Ciencias de la Computación e Informática, Universidad de Costa Rica, http:// www.di-mare.com /adolfo/p/ TreeCpp.htm, Diciembre 2005.
Internet: http://www.di-mare.com/adolfo/p/TreeCpp.htm
http://www.di-mare.com/adolfo/p/TreeCpp.doc
Autor: Adolfo Di Mare <adolfo@di-mare.com>
Contacto: Apdo 4249-1000, San José Costa Rica
Tel: (506) 207-4020       Fax: (506) 438-0139
Revisión: ECCI-UCR, Febrero 2006
Visitantes:


Copyright © 2006 Adolfo Di Mare
Derechos de autor reservados © 2006 Adolfo Di Mare <adolfo@di-mare.com>
[home] [<>] [/\]